Официальное опубликование правовых актов
ОФИЦИАЛЬНОЕ ОПУБЛИКОВАНИЕ
Постановление Правительства Ростовской области от 14.12.2020 № 357
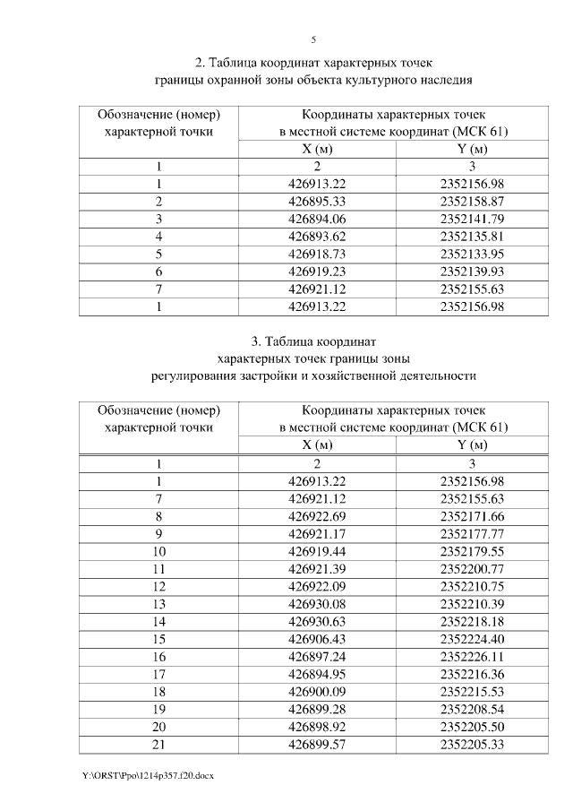
"Об установлении зон охраны объекта культурного наследия регионального значения "Жилой дом Н.Я. Верхоломова" и утверждении требований к градостроительным регламентам в границах территорий данных зон"
Номер опубликования: 6100202012160028
Дата опубликования: 16.12.2020
Страница №5 из 10:
Увеличить