Официальное опубликование правовых актов
ОФИЦИАЛЬНОЕ ОПУБЛИКОВАНИЕ
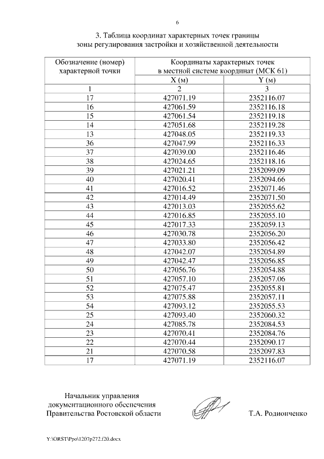
Постановление Правительства Ростовской области от 07.12.2020 № 272
"Об установлении зон охраны объекта культурного наследия регионального значения "Церковно-приходская школа" и утверждении требований к градостроительным регламентам в границах территорий данных зон"
Номер опубликования: 6100202012110044
Дата опубликования: 11.12.2020
Страница №6 из 10:
Увеличить