Официальное опубликование правовых актов
ОФИЦИАЛЬНОЕ ОПУБЛИКОВАНИЕ
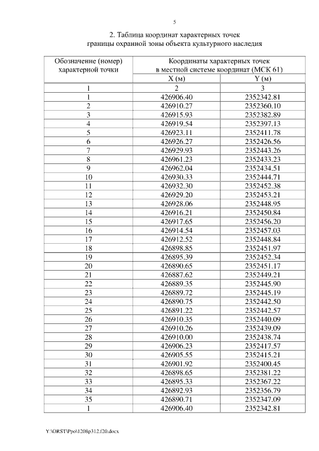
Постановление Правительства Ростовской области от 08.12.2020 № 312
"Об установлении зон охраны объекта культурного наследия регионального значения "Памятник Б.М. Думенко" и утверждении требований к градостроительным регламентам в границах территорий данных зон"
Номер опубликования: 6100202012110033
Дата опубликования: 11.12.2020
Страница №5 из 9:
Увеличить