Официальное опубликование правовых актов
ОФИЦИАЛЬНОЕ ОПУБЛИКОВАНИЕ
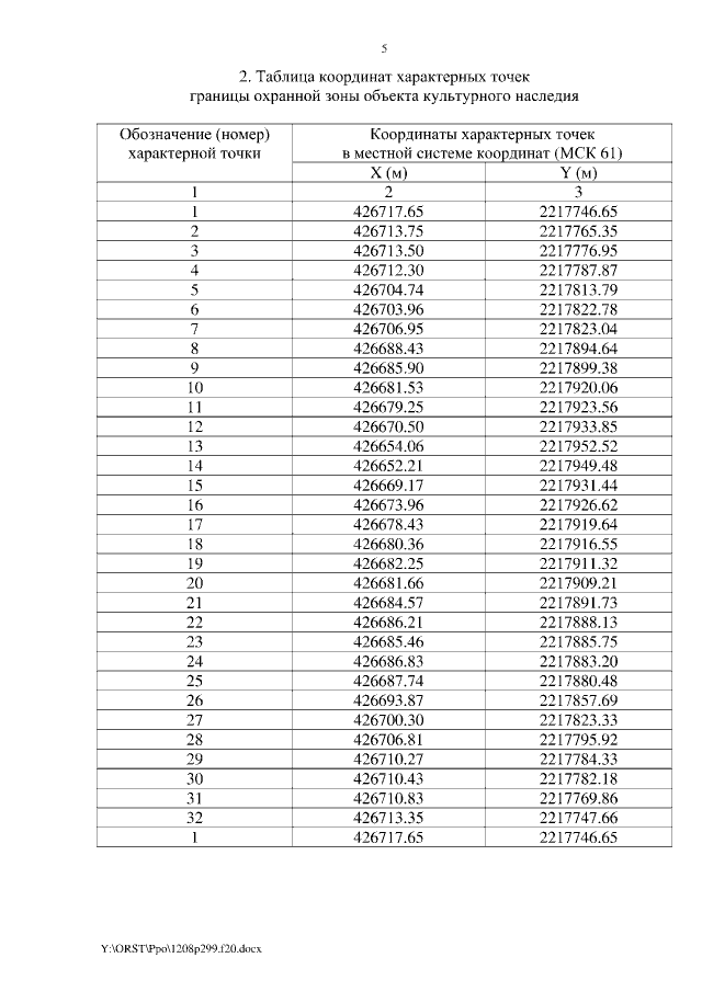
Постановление Правительства Ростовской области от 08.12.2020 № 299
"Об установлении зон охраны объекта культурного наследия регионального значения "Таможенная застава" и утверждении требований к градостроительным регламентам в границах территорий данных зон"
Номер опубликования: 6100202012110013
Дата опубликования: 11.12.2020
Страница №5 из 12:
Увеличить