Официальное опубликование правовых актов
ОФИЦИАЛЬНОЕ ОПУБЛИКОВАНИЕ
Постановление Правительства Ростовской области от 08.12.2020 № 302
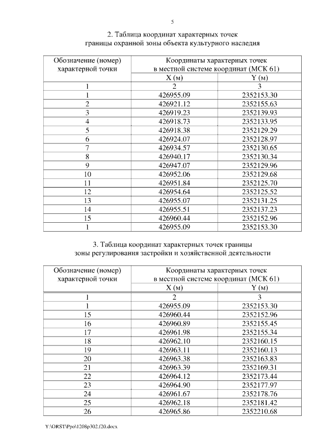
"Об установлении зон охраны объекта культурного наследия регионального значения "Жилой дом купцов-экономистов Верхоломовых" и утверждении требований к градостроительным регламентам в границах территорий данных зон"
Номер опубликования: 6100202012110009
Дата опубликования: 11.12.2020
Страница №5 из 10:
Увеличить