Официальное опубликование правовых актов
ОФИЦИАЛЬНОЕ ОПУБЛИКОВАНИЕ
Постановление Правительства Ростовской области от 07.12.2020 № 281
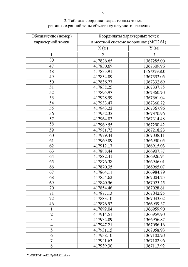
"Об установлении зон охраны объекта культурного наследия федерального значения "Обелиск в "Балке смерти", в которой немецко-фашистские оккупанты систематически расстреливали жителей г. Таганрога в 1941-1943 гг." и утверждении требований к градостроительным регламентам в границах территорий данных зон"
Номер опубликования: 6100202012110007
Дата опубликования: 11.12.2020
Страница №5 из 10:
Увеличить