Официальное опубликование правовых актов
ОФИЦИАЛЬНОЕ ОПУБЛИКОВАНИЕ
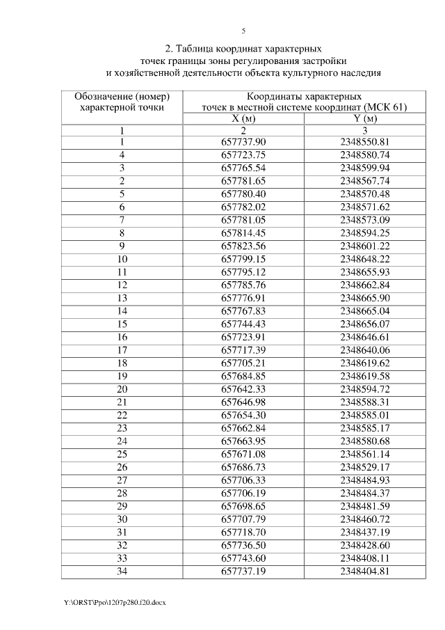
Постановление Правительства Ростовской области от 07.12.2020 № 280
"Об установлении зон охраны объекта культурного наследия федерального значения "Усадьба, в которой жил и работал в 1919 ‒ 1926 годах М.А. Шолохов" и утверждении требований к градостроительным регламентам в границах территорий данных зон"
Номер опубликования: 6100202012110003
Дата опубликования: 11.12.2020
Страница №5 из 11:
Увеличить