Официальное опубликование правовых актов
ОФИЦИАЛЬНОЕ ОПУБЛИКОВАНИЕ
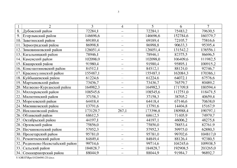
Распоряжение Правительства Ростовской области от 20.10.2020 № 98
"О внесении изменения в распоряжение Правительства Ростовской области от 24.09.2020 № 9"
Номер опубликования: 6100202010220018
Дата опубликования: 22.10.2020
Страница №3 из 4:
Увеличить