Официальное опубликование правовых актов
ОФИЦИАЛЬНОЕ ОПУБЛИКОВАНИЕ
Постановление Правительства Ростовской области от 06.10.2020 № 31
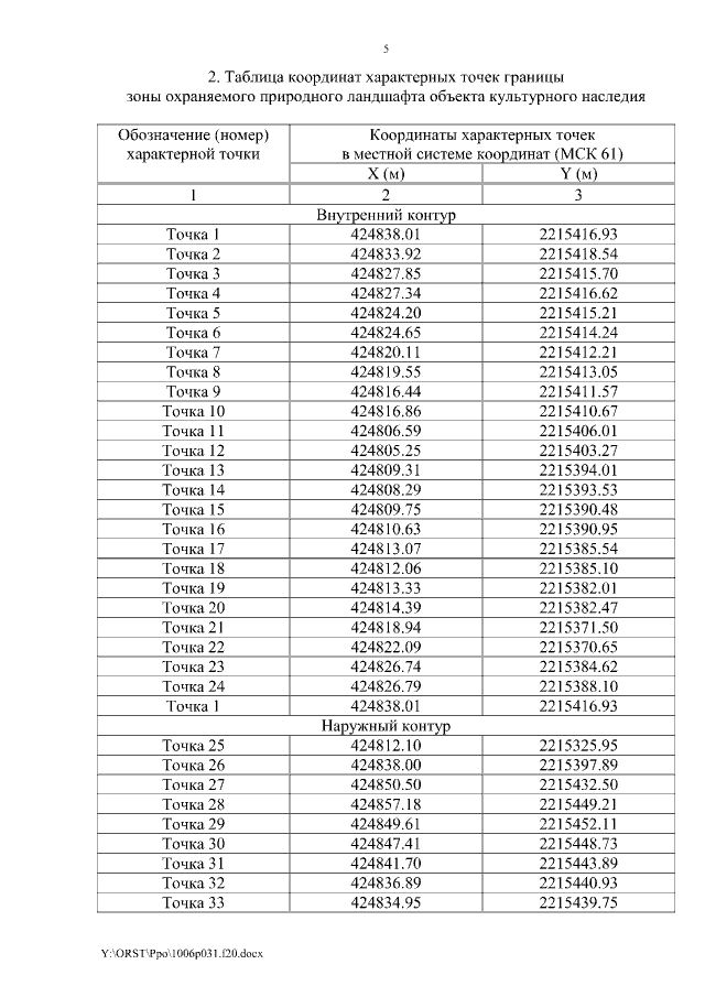
"Об установлении зон охраны объекта культурного наследия регионального значения "Памятник Переправа" и утверждении требований к градостроительным регламентам в границах территорий данных зон"
Номер опубликования: 6100202010080028
Дата опубликования: 08.10.2020
Страница №5 из 8:
Увеличить