Официальное опубликование правовых актов
ОФИЦИАЛЬНОЕ ОПУБЛИКОВАНИЕ
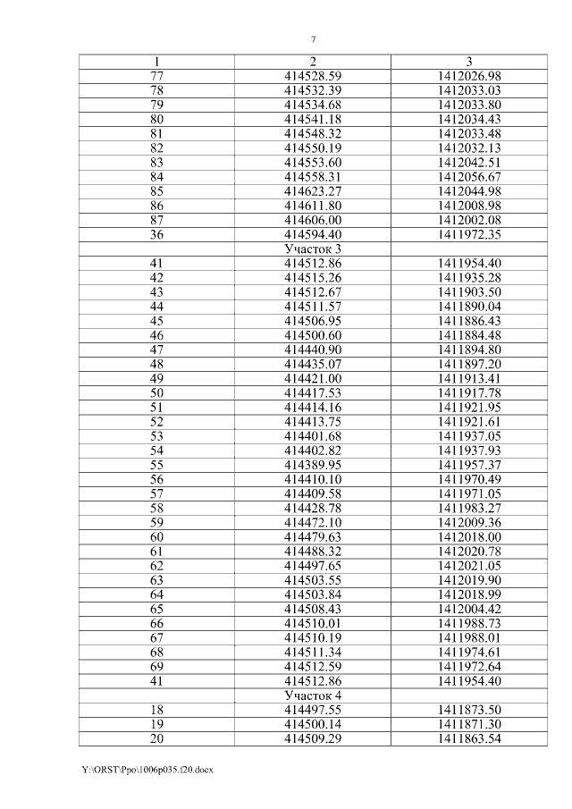
Постановление Правительства Ростовской области от 06.10.2020 № 35
"Об установлении зон охраны объекта культурного наследия регионального значения "Церковь Покрова Святой Богородицы, святых Петра и Павла и святой Троицы" и утверждении требований к градостроительным регламентам в границах территорий данных зон"
Номер опубликования: 6100202010080024
Дата опубликования: 08.10.2020
Страница №7 из 12:
Увеличить