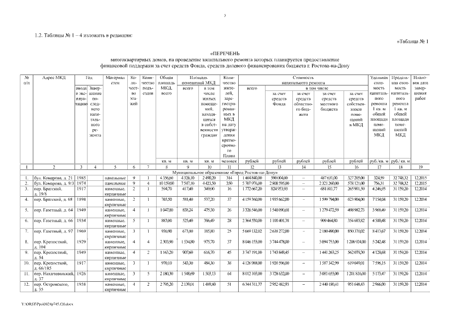
Постановление Правительства Ростовской области от 24.08.2020 № 745
"О внесении изменений в постановление Правительства Ростовской области от 22.04.2014 № 273"
"О внесении изменений в постановление Правительства Ростовской области от 22.04.2014 № 273"
Номер опубликования: 6100202008260013
Дата опубликования:
26.08.2020
