Официальное опубликование правовых актов
ОФИЦИАЛЬНОЕ ОПУБЛИКОВАНИЕ
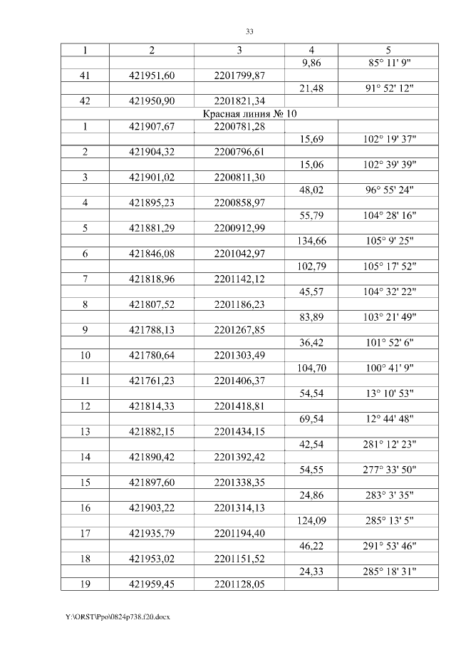
Постановление Правительства Ростовской области от 24.08.2020 № 738
"Об утверждении проекта изменений в проект планировки прибрежных территорий р. Темерник, расположенных в г. Ростове-на-Дону, Мясниковском и Аксайском районах Ростовской области (от истока р. Темерник, расположенного восточнее с. Большие Салы Мясниковского района, до впадения в р. Дон) (1 этап)"
Номер опубликования: 6100202008260006
Дата опубликования: 26.08.2020
Страница №33 из 867:
Увеличить