Официальное опубликование правовых актов
ОФИЦИАЛЬНОЕ ОПУБЛИКОВАНИЕ
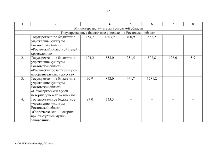
Распоряжение Правительства Ростовской области от 10.08.2020 № 628
"О прогнозных объемах финансирования и лимитах потребления топливно-энергетических ресурсов на 2021 год и плановый период 2022 и 2023 годов"
Номер опубликования: 6100202008140015
Дата опубликования: 14.08.2020
Страница №59 из 705:
Увеличить