Официальное опубликование правовых актов
ОФИЦИАЛЬНОЕ ОПУБЛИКОВАНИЕ
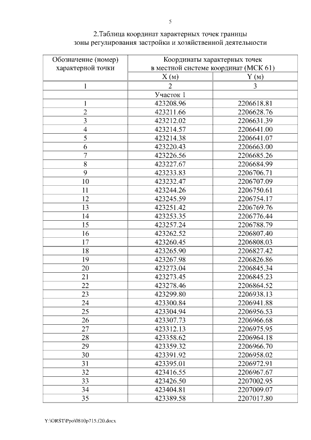
Постановление Правительства Ростовской области от 10.08.2020 № 715
"Об установлении зон охраны объекта культурного наследия регионального значения "Комплекс застройки церкви Сурб-Карапет на территории Армянского кладбища" и утверждении требований к градостроительным регламентам в границах территорий данных зон"
Номер опубликования: 6100202008140007
Дата опубликования: 14.08.2020
Страница №5 из 8:
Увеличить