Официальное опубликование правовых актов
ОФИЦИАЛЬНОЕ ОПУБЛИКОВАНИЕ
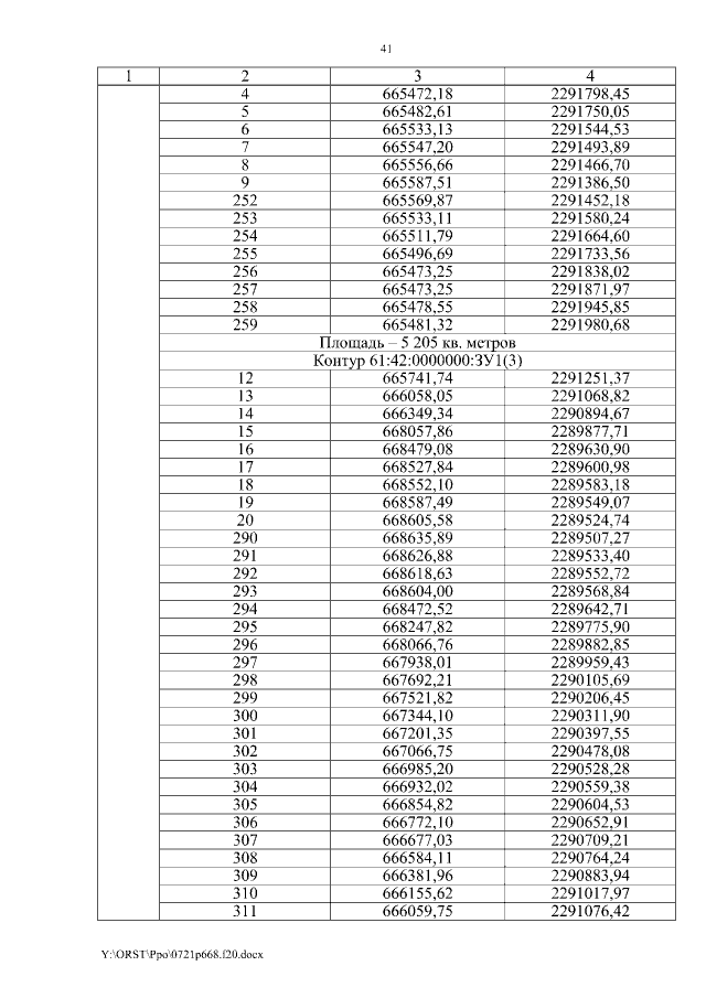
Постановление Правительства Ростовской области от 21.07.2020 № 668
"Об утверждении проекта планировки и проекта межевания территории размещения автомобильной дороги общего пользования межмуниципального значения "Реконструкция автомобильной дороги общего пользования межмуниципального значения х. Лозовой – х. Шипилов – х. Богуны в Чертковском районе"
Номер опубликования: 6100202007220009
Дата опубликования: 22.07.2020
Страница №41 из 57:
Увеличить