Официальное опубликование правовых актов
ОФИЦИАЛЬНОЕ ОПУБЛИКОВАНИЕ
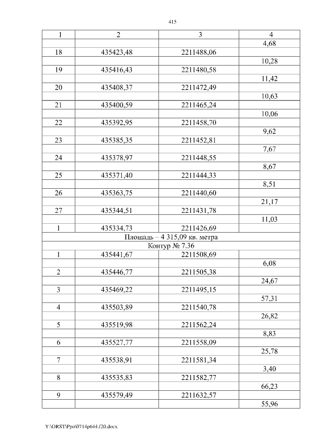
Постановление Правительства Ростовской области от 14.07.2020 № 644
"Об утверждении проекта планировки и проекта межевания прибрежных территорий р. Темерник, расположенных в г. Ростове-на-Дону, Мясниковском и Аксайском районах (вдоль ручья Безымянный, вдоль балки Большая Камышеваха от п. Рассвет, вдоль балки Малая Камышеваха от п. Водопадный, вдоль балки Камышеваха, вдоль вдхр. Ростовское море) (3 и 4 этапы)"
Номер опубликования: 6100202007160001
Дата опубликования: 16.07.2020
Страница №415 из 451:
Увеличить