Официальное опубликование правовых актов
ОФИЦИАЛЬНОЕ ОПУБЛИКОВАНИЕ
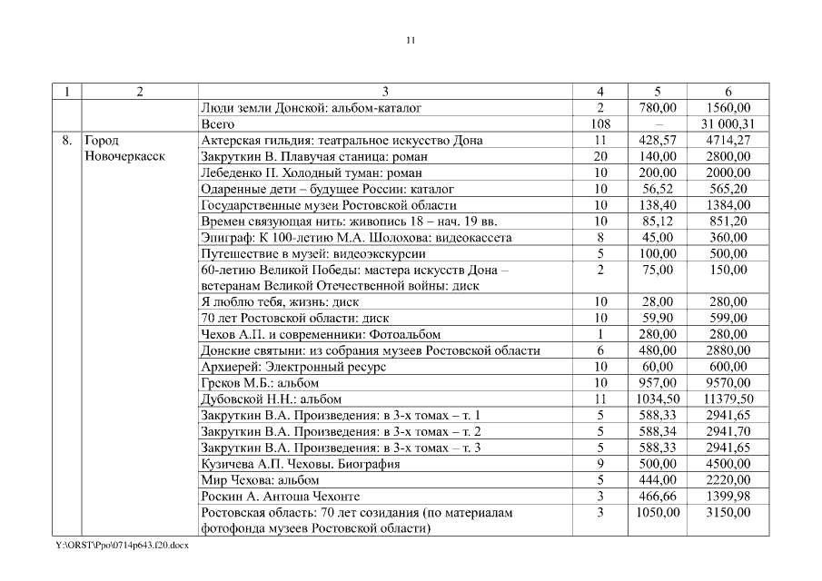
Постановление Правительства Ростовской области от 14.07.2020 № 643
"О передаче имущества, приобретенного за счет средств областного бюджета, из государственной собственности Ростовской области в муниципальную собственность"
Номер опубликования: 6100202007150013
Дата опубликования: 15.07.2020
Страница №11 из 61:
Увеличить