Официальное опубликование правовых актов
ОФИЦИАЛЬНОЕ ОПУБЛИКОВАНИЕ
Постановление Правительства Ростовской области от 06.07.2020 № 619
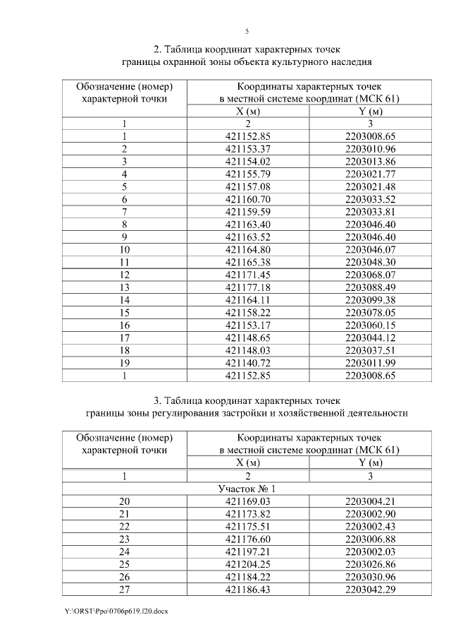
"Об установлении зон охраны объекта культурного наследия регионального значения "Доходный дом С.К. Унанова" и утверждении требований к градостроительным регламентам в границах территорий данных зон"
Номер опубликования: 6100202007080002
Дата опубликования: 08.07.2020
Страница №5 из 10:
Увеличить