Официальное опубликование правовых актов
ОФИЦИАЛЬНОЕ ОПУБЛИКОВАНИЕ
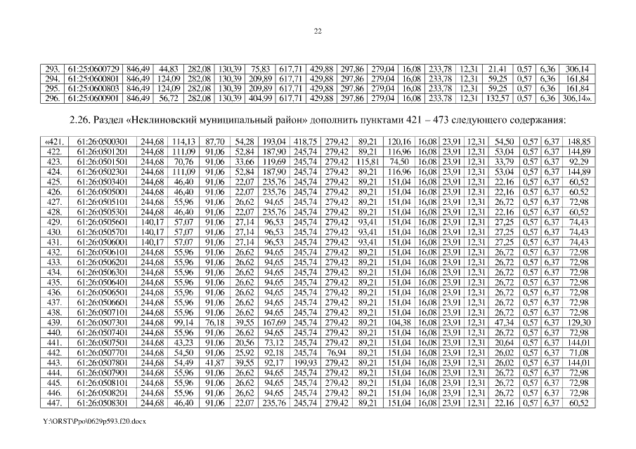
Постановление Правительства Ростовской области от 29.06.2020 № 593
"О внесении изменений в постановление Правительства Ростовской области от 25.11.2014 № 778"
Номер опубликования: 6100202006300022
Дата опубликования: 30.06.2020
Страница №22 из 34:
Увеличить