Официальное опубликование правовых актов
ОФИЦИАЛЬНОЕ ОПУБЛИКОВАНИЕ
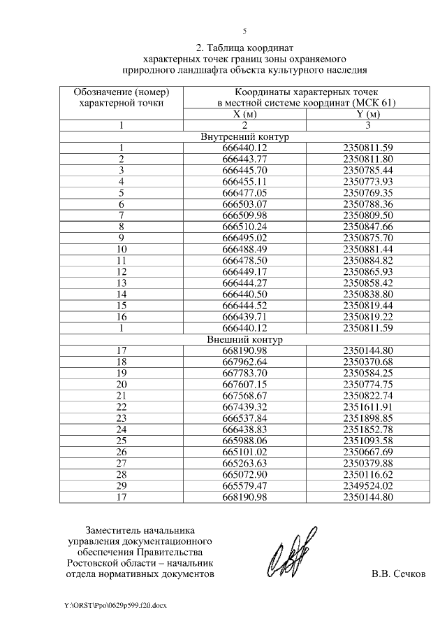
Постановление Правительства Ростовской области от 29.06.2020 № 599
"Об установлении зон охраны объекта культурного наследия регионального значения "Скульптурная композиция "Казакам Тихого Дона" и утверждении требований к градостроительным регламентам в границах территорий данных зон"
Номер опубликования: 6100202006300021
Дата опубликования: 30.06.2020
Страница №5 из 8:
Увеличить