Официальное опубликование правовых актов
ОФИЦИАЛЬНОЕ ОПУБЛИКОВАНИЕ
Постановление Правительства Ростовской области от 22.06.2020 № 579
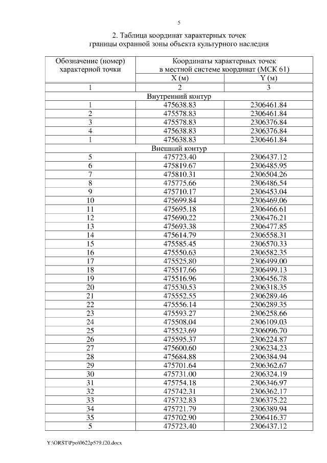
"Об установлении зон охраны объекта культурного наследия регионального значения "Православная церковь" и утверждении требований к градостроительным регламентам в границах территорий данных зон"
Номер опубликования: 6100202006250020
Дата опубликования: 25.06.2020
Страница №5 из 13:
Увеличить