Официальное опубликование правовых актов
ОФИЦИАЛЬНОЕ ОПУБЛИКОВАНИЕ
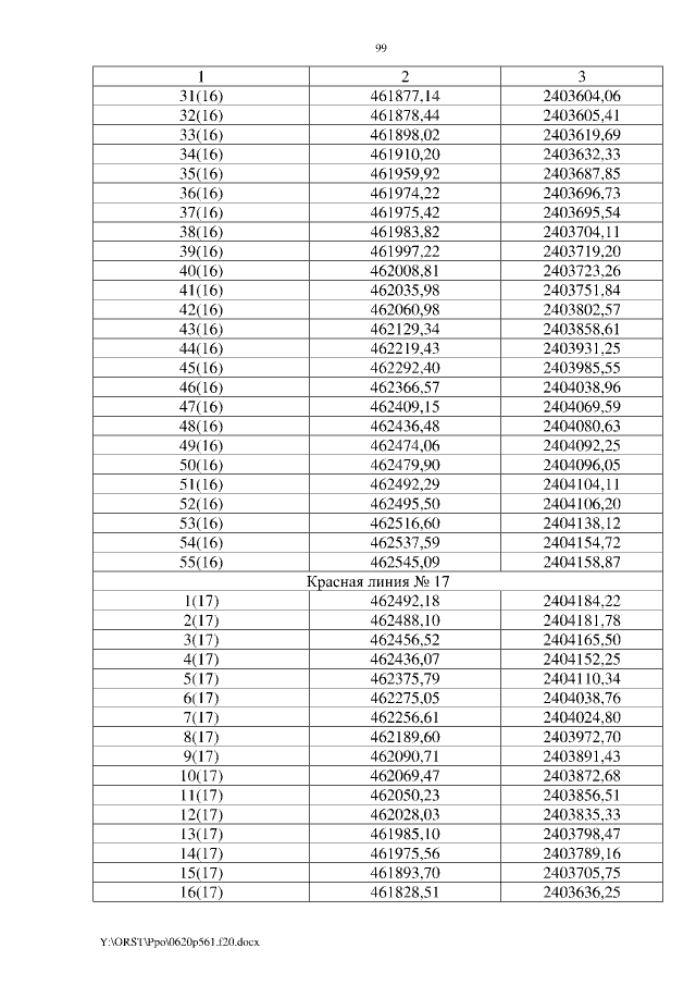
Постановление Правительства Ростовской области от 20.06.2020 № 561
"Об утверждении проекта изменений в проект планировки и проект межевания территории размещения линейного объекта "Реконструкция участка подъездной дороги от пересечения магистрали № 1 "г. Волгодонск – Атомная" с ул. Мира в г. Волгодонске до въезда на территорию Волгодонской (Ростовской) АЭС"
Номер опубликования: 6100202006250019
Дата опубликования: 25.06.2020
Страница №99 из 251:
Увеличить