Официальное опубликование правовых актов
ОФИЦИАЛЬНОЕ ОПУБЛИКОВАНИЕ
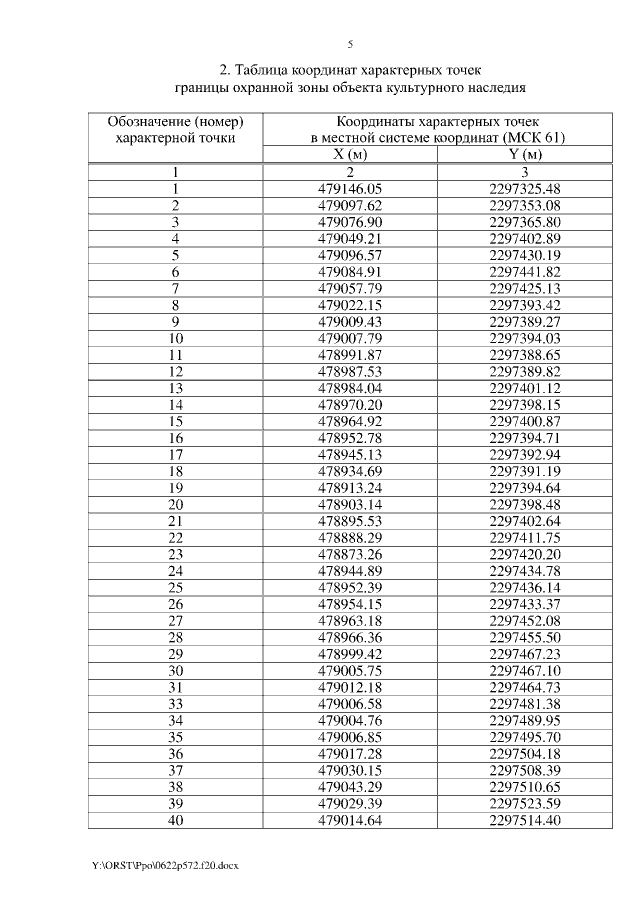
Постановление Правительства Ростовской области от 22.06.2020 № 572
"Об установлении зон охраны объекта культурного наследия регионального значения "Христорождественская православная церковь" и утверждении требований к градостроительным регламентам в границах территорий данных зон"
Номер опубликования: 6100202006250012
Дата опубликования: 25.06.2020
Страница №5 из 14:
Увеличить