Официальное опубликование правовых актов
ОФИЦИАЛЬНОЕ ОПУБЛИКОВАНИЕ
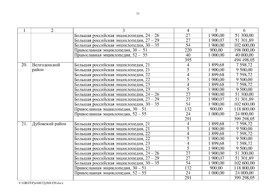
Постановление Правительства Ростовской области от 22.06.2020 № 569
"О передаче имущества из государственной собственности Ростовской области в муниципальную собственность"
Номер опубликования: 6100202006250006
Дата опубликования: 25.06.2020
Страница №11 из 25:
Увеличить