Официальное опубликование правовых актов
ОФИЦИАЛЬНОЕ ОПУБЛИКОВАНИЕ
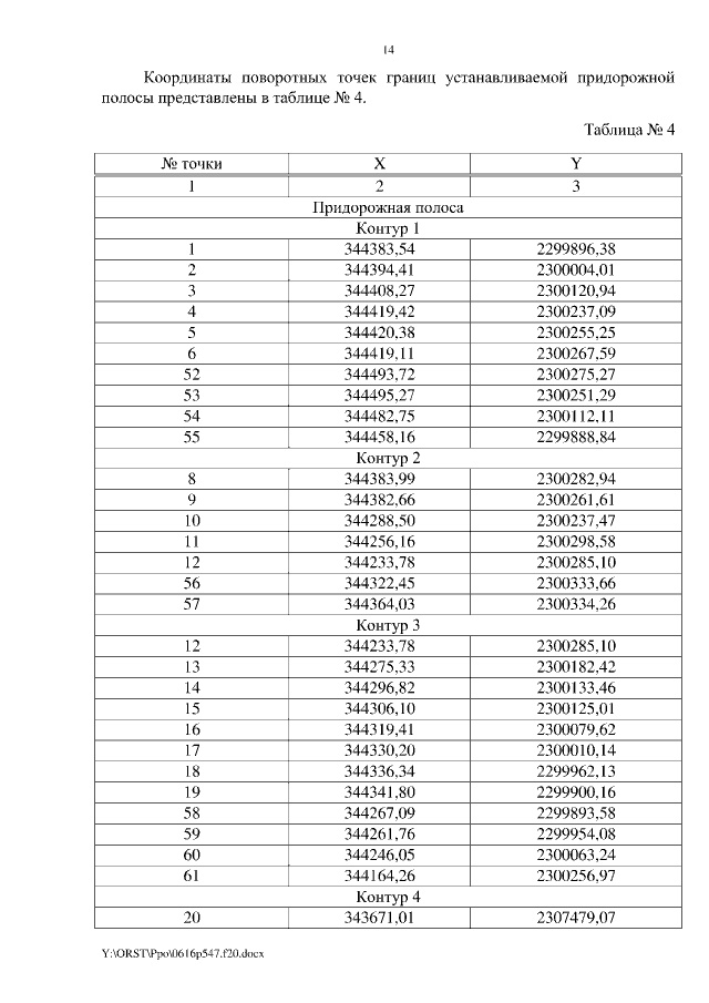
Постановление Правительства Ростовской области от 16.06.2020 № 547
"Об утверждении проекта планировки и проекта межевания территории размещения автомобильной дороги общего пользования регионального значения "Реконструкция примыканий на автомобильной дороге общего пользования регионального значения "ст. Егорлыкская – г. Сальск на км 26 + 140 и км 36 + 390 в Целинском районе"
Номер опубликования: 6100202006170016
Дата опубликования: 17.06.2020
Страница №14 из 29:
Увеличить