Официальное опубликование правовых актов
ОФИЦИАЛЬНОЕ ОПУБЛИКОВАНИЕ
Постановление Правительства Ростовской области от 15.06.2020 № 543
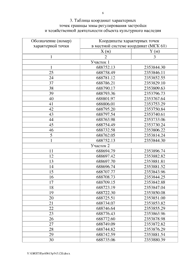
"Об установлении зон охраны объекта культурного наследия регионального значения "Двухклассная ремесленная школа" и утверждении требований к градостроительным регламентам в границах территорий данных зон"
Номер опубликования: 6100202006170014
Дата опубликования: 17.06.2020
Страница №6 из 14:
Увеличить