Официальное опубликование правовых актов
ОФИЦИАЛЬНОЕ ОПУБЛИКОВАНИЕ
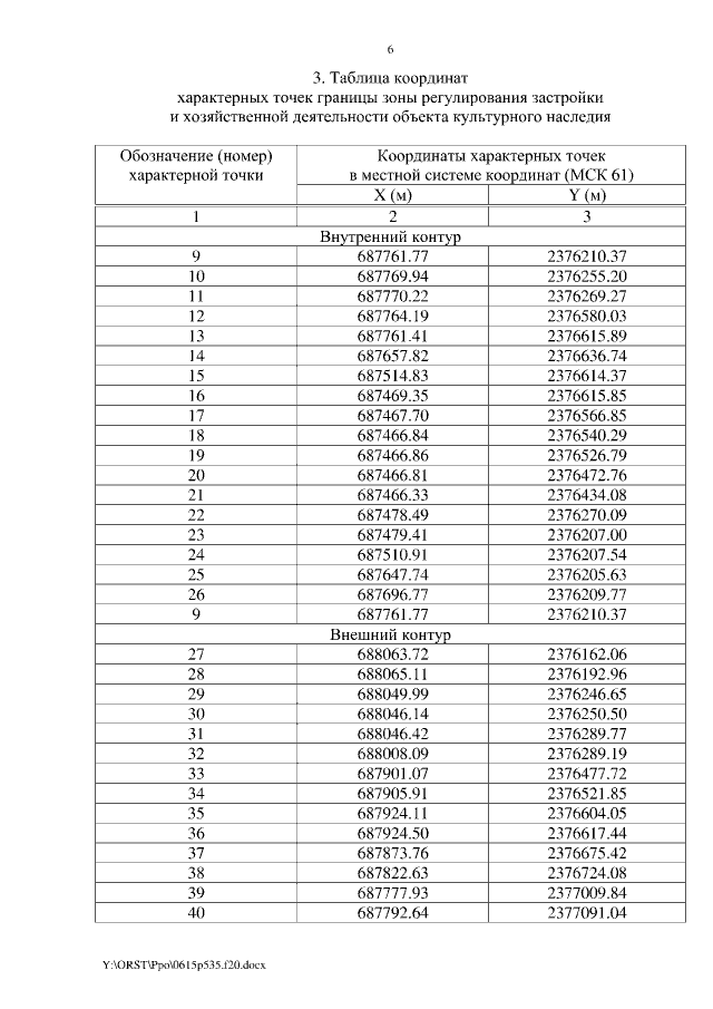
Постановление Правительства Ростовской области от 15.06.2020 № 535
"Об установлении зон охраны объекта культурного наследия регионального значения "Свято-Никольский собор" и утверждении требований к градостроительным регламентам в границах территорий данных зон"
Номер опубликования: 6100202006170005
Дата опубликования: 17.06.2020
Страница №6 из 13:
Увеличить