Официальное опубликование правовых актов
ОФИЦИАЛЬНОЕ ОПУБЛИКОВАНИЕ
Постановление Правительства Ростовской области от 15.06.2020 № 534
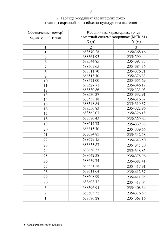
"Об установлении зон охраны объекта культурного наследия регионального значения "Дом, где жил и работал над романом "Тихий Дон" в 1926 – 1927 гг. М.А. Шолохов" и утверждении требований к градостроительным регламентам в границах территорий данных зон"
Номер опубликования: 6100202006170004
Дата опубликования: 17.06.2020
Страница №5 из 12:
Увеличить