Официальное опубликование правовых актов
ОФИЦИАЛЬНОЕ ОПУБЛИКОВАНИЕ
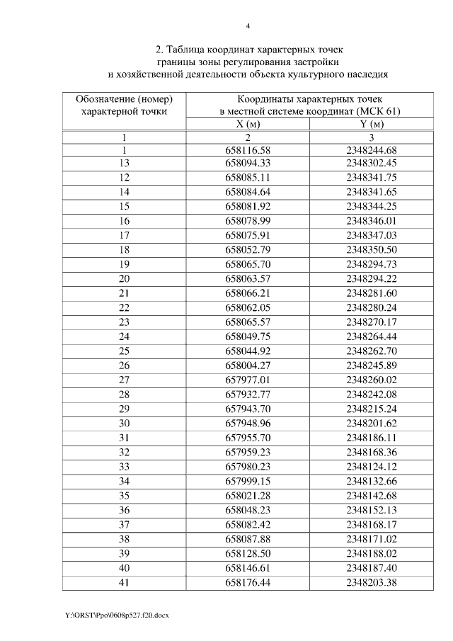
Постановление Правительства Ростовской области от 08.06.2020 № 527
"О внесении изменения в постановление Правительства Ростовской области от 06.04.2020 № 275"
Номер опубликования: 6100202006110011
Дата опубликования: 11.06.2020
Страница №4 из 6:
Увеличить