Официальное опубликование правовых актов
ОФИЦИАЛЬНОЕ ОПУБЛИКОВАНИЕ
Постановление Правительства Ростовской области от 08.06.2020 № 523
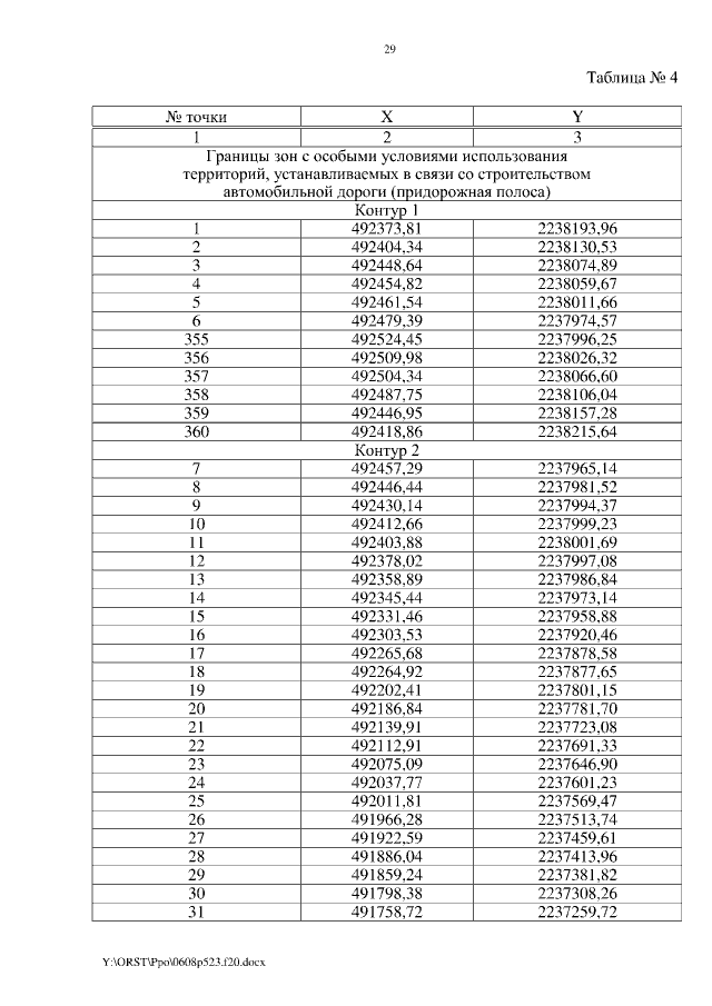
"Об утверждении проекта планировки и проекта межевания территории размещения автомобильной дороги общего пользования регионального значения "Строительство автомобильной дороги общего пользования регионального значения "Южный обход г. Красный Сулин в Красносулинском районе"
Номер опубликования: 6100202006110009
Дата опубликования: 11.06.2020
Страница №29 из 68:
Увеличить