Официальное опубликование правовых актов
ОФИЦИАЛЬНОЕ ОПУБЛИКОВАНИЕ
Постановление Правительства Ростовской области от 01.06.2020 № 509
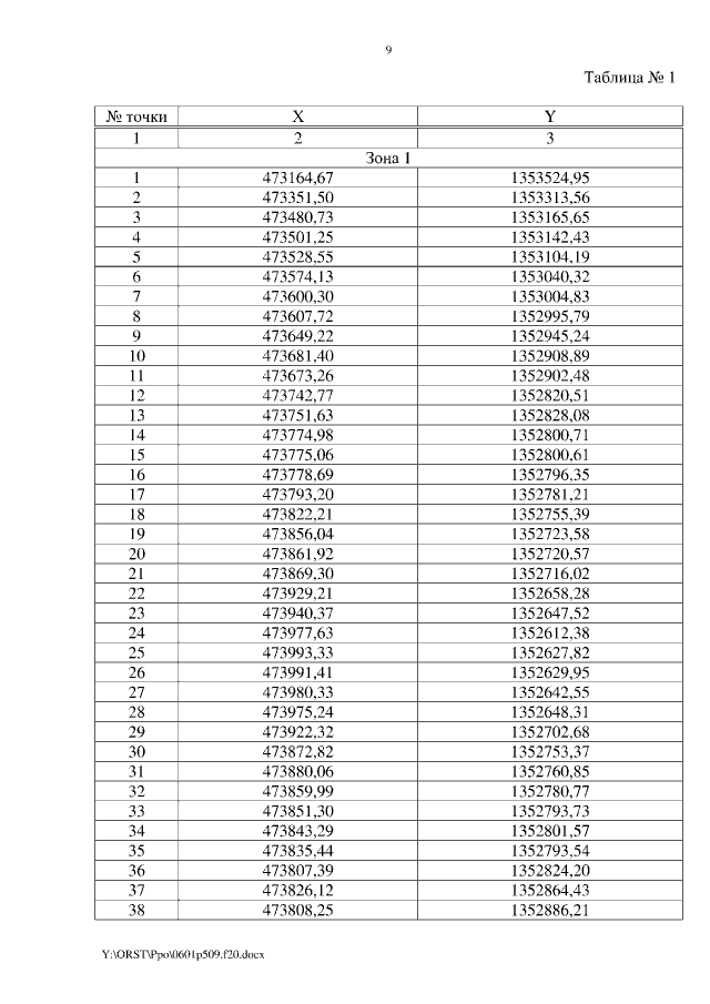
"Об утверждении проекта планировки и проекта межевания территории размещения линейного объекта "Реконструкция автомобильной дороги общего пользования регионального значения пос. Матвеев Курган – с. Авило-Успенка (до границы Украины) на участке км 20 + 000 – км 20 + 900 в Матвеево-Курганском районе"
Номер опубликования: 6100202006030020
Дата опубликования: 03.06.2020
Страница №9 из 31:
Увеличить