Официальное опубликование правовых актов
ОФИЦИАЛЬНОЕ ОПУБЛИКОВАНИЕ
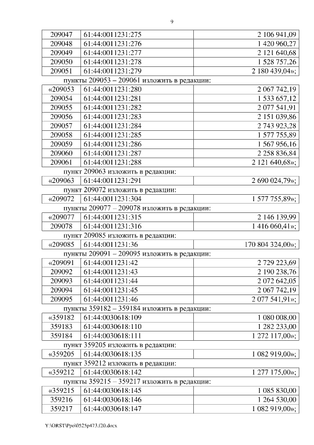
Постановление Правительства Ростовской области от 25.05.2020 № 473
"О внесении изменений в постановление Правительства Ростовской области от 27.12.2016 № 881"
Номер опубликования: 6100202005280003
Дата опубликования: 28.05.2020
Страница №9 из 14:
Увеличить