Официальное опубликование правовых актов
ОФИЦИАЛЬНОЕ ОПУБЛИКОВАНИЕ
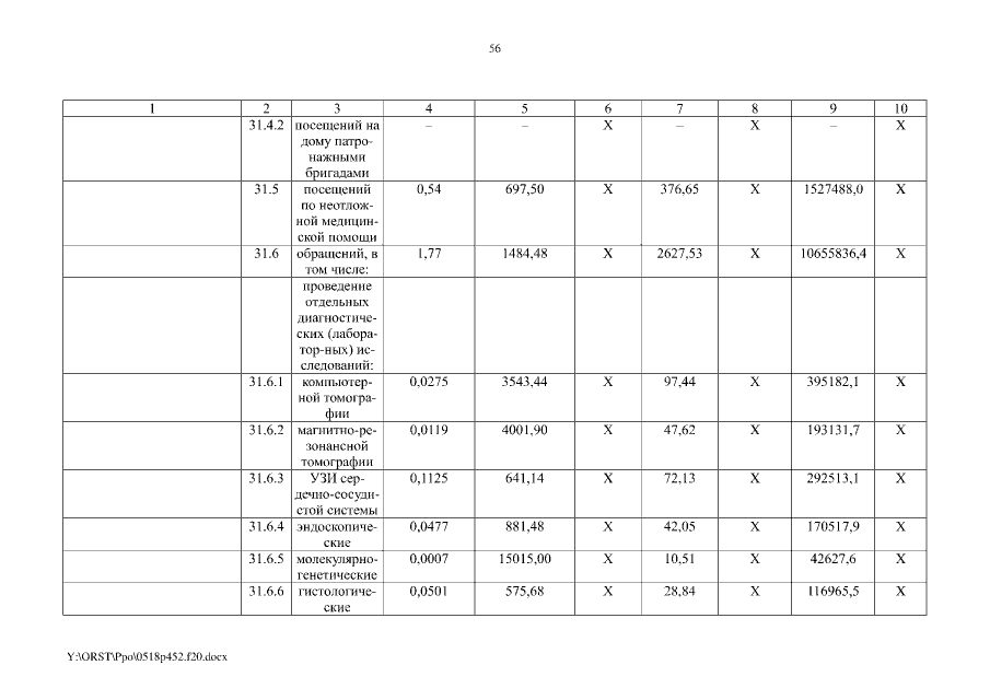
Постановление Правительства Ростовской области от 18.05.2020 № 452
"О внесении изменений в постановление Правительства Ростовской области от 09.12.2019 № 915"
Номер опубликования: 6100202005200023
Дата опубликования: 20.05.2020
Страница №56 из 197:
Увеличить