Официальное опубликование правовых актов
ОФИЦИАЛЬНОЕ ОПУБЛИКОВАНИЕ
Постановление Правительства Ростовской области от 20.04.2020 № 386
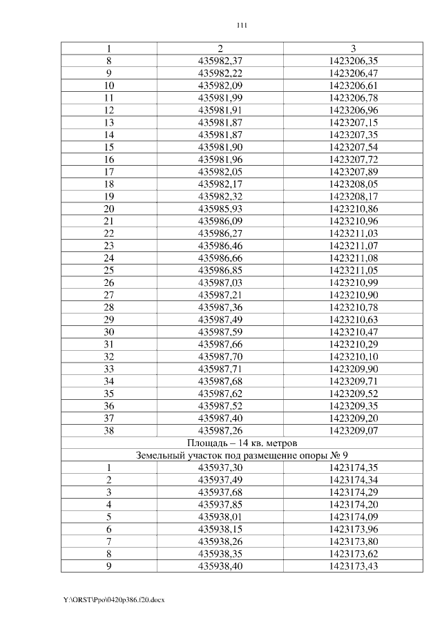
"Об утверждении проекта изменений в проект планировки и проект межевания территории размещения автомобильной дороги общего пользования регионального значения "Северный обход г. Ростова-на-Дону" на участке а/д "г. Ростов-на-Дону – сл. Родионово-Несветайская – г. Новошахтинск" – а/д "г. Ростов-на-Дону – г. Таганрог"
Номер опубликования: 6100202004220028
Дата опубликования: 22.04.2020
Страница №111 из 300:
Увеличить