Официальное опубликование правовых актов
ОФИЦИАЛЬНОЕ ОПУБЛИКОВАНИЕ
Постановление Правительства Ростовской области от 20.04.2020 № 381
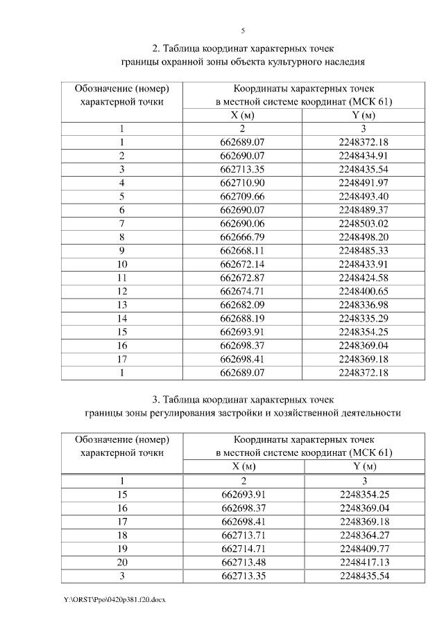
"Об установлении зон охраны объекта культурного наследия регионального значения "Здание церковно-приходской школы" и утверждении требований к градостроительным регламентам в границах территорий данных зон"
Номер опубликования: 6100202004220024
Дата опубликования: 22.04.2020
Страница №5 из 10:
Увеличить