Официальное опубликование правовых актов
ОФИЦИАЛЬНОЕ ОПУБЛИКОВАНИЕ
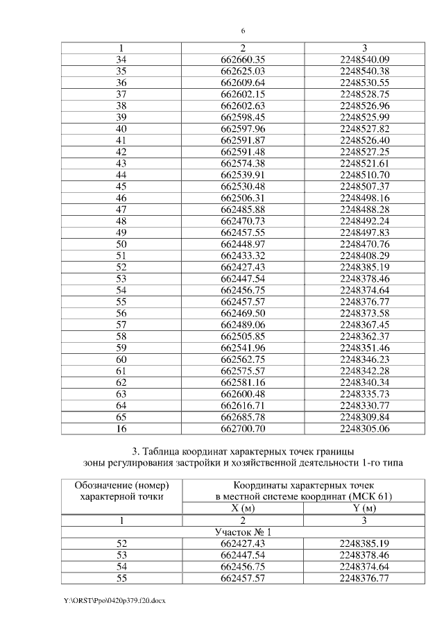
Постановление Правительства Ростовской области от 20.04.2020 № 379
"Об установлении зон охраны объекта культурного наследия регионального значения "Свято-троицкая православная церковь" и утверждении требований к градостроительным регламентам в границах территорий данных зон"
Номер опубликования: 6100202004220023
Дата опубликования: 22.04.2020
Страница №6 из 18:
Увеличить