Официальное опубликование правовых актов
ОФИЦИАЛЬНОЕ ОПУБЛИКОВАНИЕ
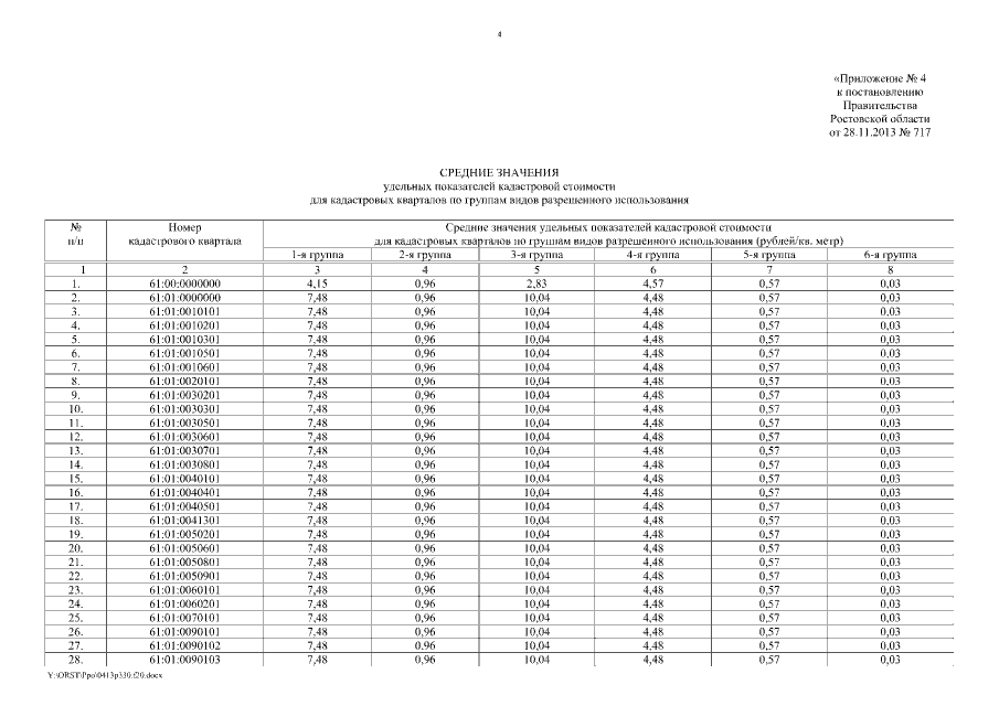
Постановление Правительства Ростовской области от 13.04.2020 № 330
"О внесении изменений в постановление Правительства Ростовской области от 28.11.2013 № 717"
Номер опубликования: 6100202004160014
Дата опубликования: 16.04.2020
Страница №4 из 84:
Увеличить