Официальное опубликование правовых актов
ОФИЦИАЛЬНОЕ ОПУБЛИКОВАНИЕ
Постановление Правительства Ростовской области от 13.04.2020 № 322
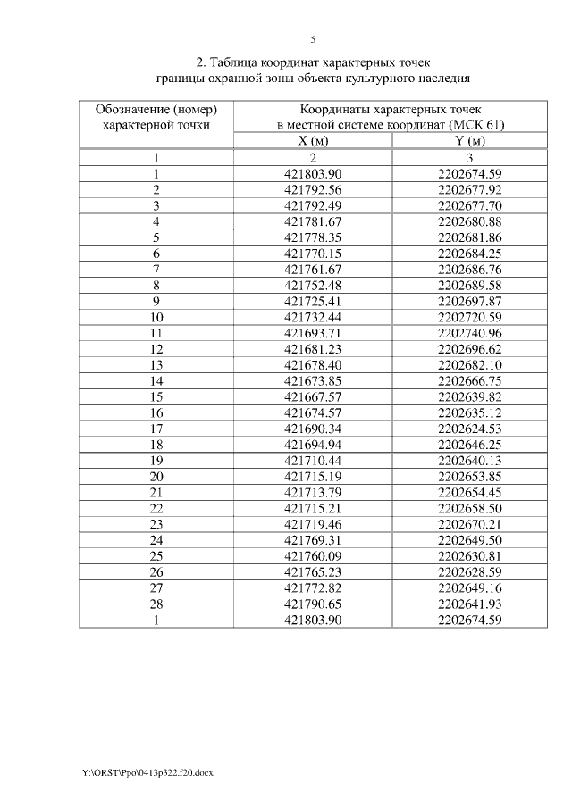
"Об установлении зон охраны объекта культурного наследия регионального значения "Доходный дом Н.В. Степаненко" и утверждении требований к градостроительным регламентам в границах территорий данных зон"
Номер опубликования: 6100202004160009
Дата опубликования: 16.04.2020
Страница №5 из 10:
Увеличить