Официальное опубликование правовых актов
ОФИЦИАЛЬНОЕ ОПУБЛИКОВАНИЕ
Постановление Правительства Ростовской области от 13.04.2020 № 317
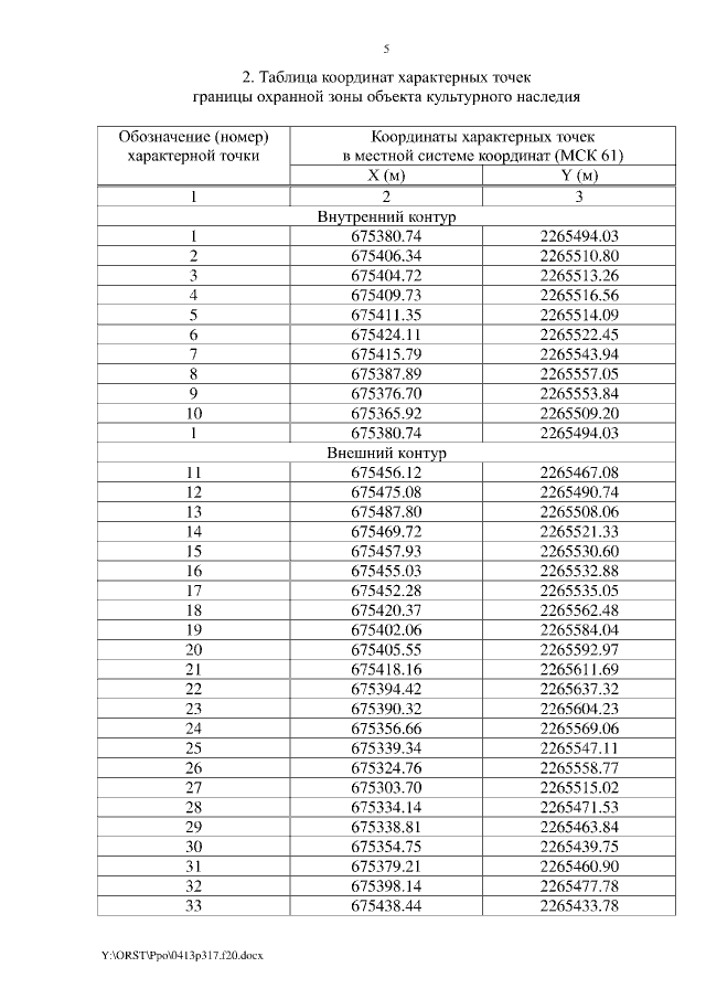
"Об установлении зон охраны объекта культурного наследия регионального значения "Ансамбль церкви святых Дмитрия и Серафима" и утверждении требований к градостроительным регламентам в границах территорий данных зон"
Номер опубликования: 6100202004160005
Дата опубликования: 16.04.2020
Страница №5 из 13:
Увеличить