Официальное опубликование правовых актов
ОФИЦИАЛЬНОЕ ОПУБЛИКОВАНИЕ
Постановление Правительства Ростовской области от 06.04.2020 № 302
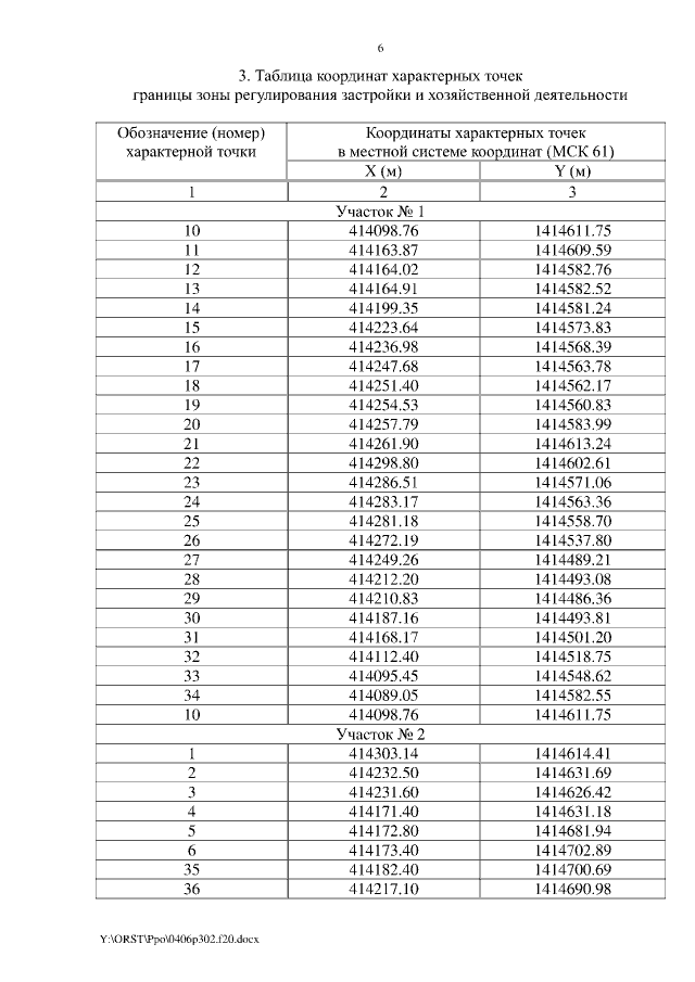
"Об установлении зон охраны объекта культурного наследия регионального значения "Памятный знак в память судокоманды к-за им. Ленина (малый буксир "Кашалот")" и утверждении требований к градостроительным регламентам в границах территорий данных зон"
Номер опубликования: 6100202004090028
Дата опубликования: 09.04.2020
Страница №6 из 10:
Увеличить