Официальное опубликование правовых актов
ОФИЦИАЛЬНОЕ ОПУБЛИКОВАНИЕ
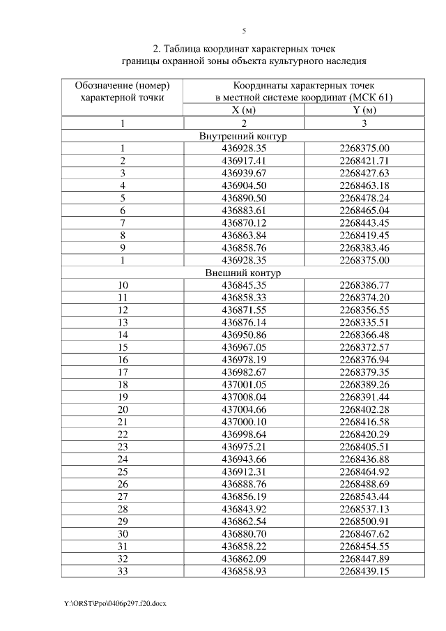
Постановление Правительства Ростовской области от 06.04.2020 № 297
"Об установлении зон охраны объекта культурного наследия регионального значения "Одигитриевская церковь" и утверждении требований к градостроительным регламентам в границах территорий данных зон"
Номер опубликования: 6100202004090014
Дата опубликования: 09.04.2020
Страница №5 из 13:
Увеличить