Официальное опубликование правовых актов
ОФИЦИАЛЬНОЕ ОПУБЛИКОВАНИЕ
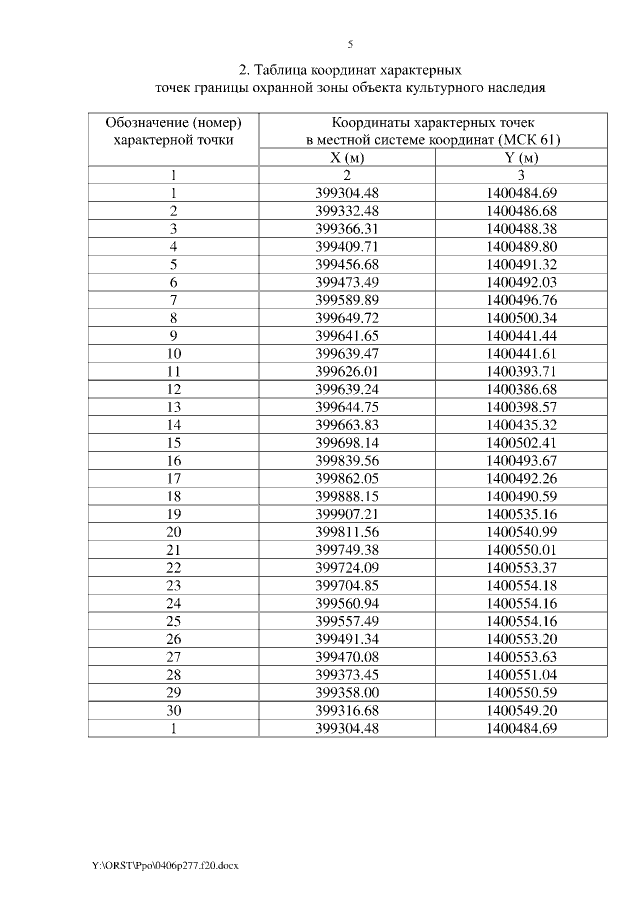
Постановление Правительства Ростовской области от 06.04.2020 № 277
"Об установлении зон охраны объекта культурного наследия регионального значения "Преображенская церковь" и утверждении требований к градостроительным регламентам в границах территорий данных зон"
Номер опубликования: 6100202004090006
Дата опубликования: 09.04.2020
Страница №5 из 12:
Увеличить