Официальное опубликование правовых актов
ОФИЦИАЛЬНОЕ ОПУБЛИКОВАНИЕ
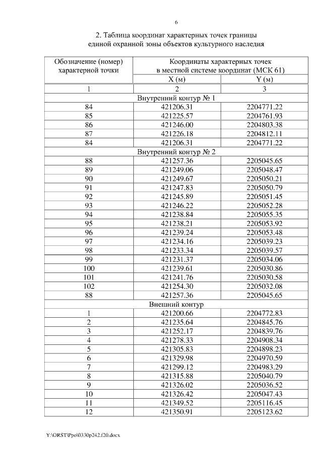
Постановление Правительства Ростовской области от 30.03.2020 № 242
"Об установлении объединенной зоны охраны объектов культурного наследия: федерального значения "Комплекс экспортных зерновых складов", регионального значения "Здание главного корпуса Ростовского мореходного училища дальнего плавания", регионального значения "Склад портовый каменный, конец XVIII в. – XIX в." и утверждении требований к градостроительным регламентам в границах территорий данной зоны"
Номер опубликования: 6100202004010034
Дата опубликования: 01.04.2020
Страница №6 из 28:
Увеличить