Официальное опубликование правовых актов
ОФИЦИАЛЬНОЕ ОПУБЛИКОВАНИЕ
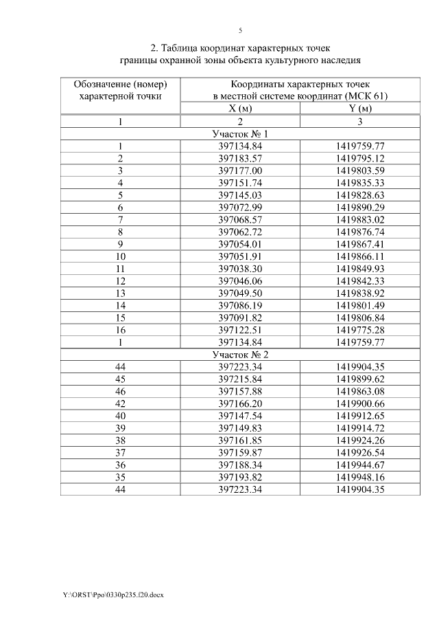
Постановление Правительства Ростовской области от 30.03.2020 № 235
"Об установлении зон охраны объекта культурного наследия регионального значения "Православный храм" и утверждении требований к градостроительным регламентам в границах территорий данных зон"
Номер опубликования: 6100202004010026
Дата опубликования: 01.04.2020
Страница №5 из 10:
Увеличить