Официальное опубликование правовых актов
ОФИЦИАЛЬНОЕ ОПУБЛИКОВАНИЕ
Постановление Правительства Ростовской области от 30.03.2020 № 232
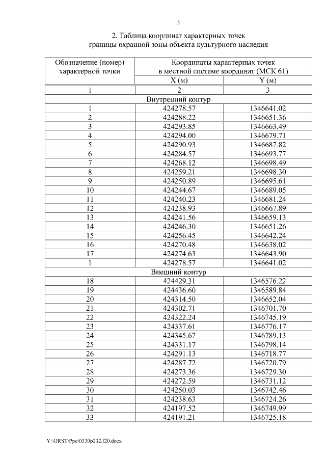
"Об установлении зон охраны объекта культурного наследия регионального значения "Свято-Троицкая церковь" и утверждении требований к градостроительным регламентам в границах территорий данных зон"
Номер опубликования: 6100202004010015
Дата опубликования: 01.04.2020
Страница №5 из 11:
Увеличить