Официальное опубликование правовых актов
ОФИЦИАЛЬНОЕ ОПУБЛИКОВАНИЕ
Постановление Правительства Ростовской области от 23.03.2020 № 202
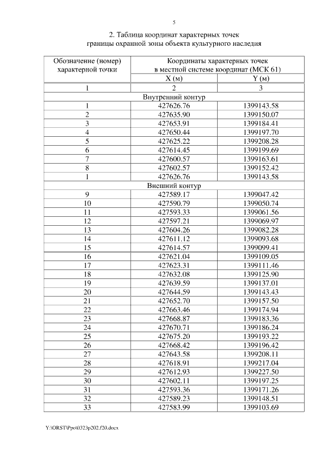
"Об установлении зон охраны объекта культурного наследия регионального значения "Всехсвятская церковь" и утверждении требований к градостроительным регламентам в границах территорий данных зон"
Номер опубликования: 6100202003260016
Дата опубликования: 26.03.2020
Страница №5 из 11:
Увеличить