Официальное опубликование правовых актов
ОФИЦИАЛЬНОЕ ОПУБЛИКОВАНИЕ
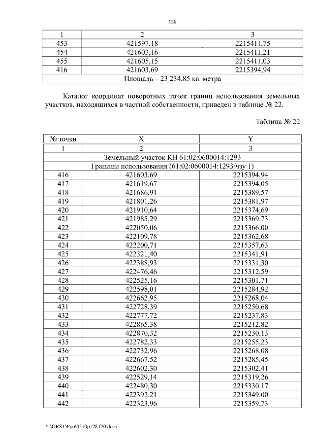
Постановление Правительства Ростовской области от 10.03.2020 № 128
"Об утверждении проекта планировки и проекта межевания территории размещения линейного объекта "Реконструкция газопровода высокого давления от ГРС № 4 до ГРП № 118 в г. Ростове-на-Дону"
Номер опубликования: 6100202003120031
Дата опубликования: 12.03.2020
Страница №138 из 142:
Увеличить