Официальное опубликование правовых актов
ОФИЦИАЛЬНОЕ ОПУБЛИКОВАНИЕ
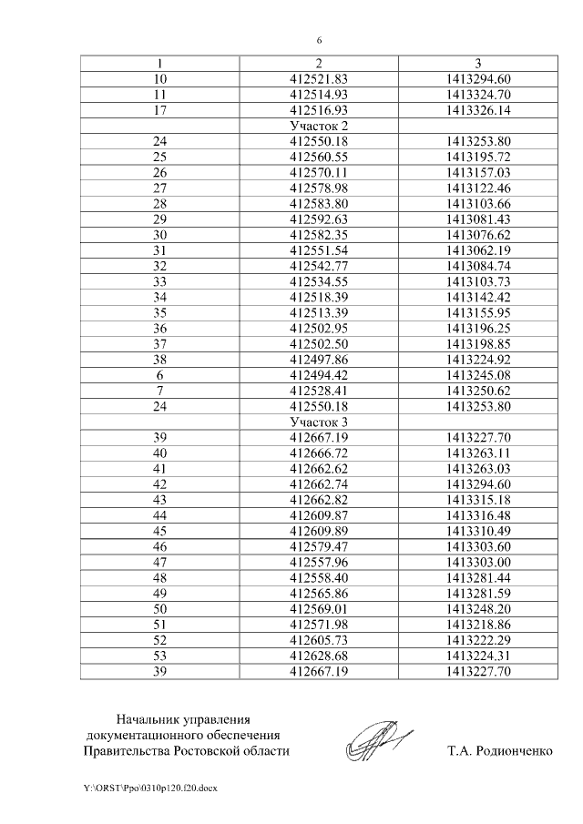
Постановление Правительства Ростовской области от 10.03.2020 № 120
"Об установлении зон охраны объекта культурного наследия регионального значения "Дом казака Ковалева" и утверждении требований к градостроительным регламентам в границах территорий данных зон"
Номер опубликования: 6100202003120024
Дата опубликования: 12.03.2020
Страница №6 из 10:
Увеличить