Официальное опубликование правовых актов
ОФИЦИАЛЬНОЕ ОПУБЛИКОВАНИЕ
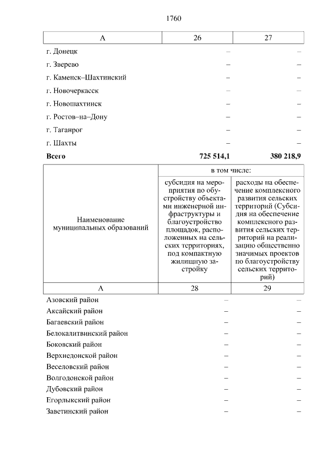
Областной закон Ростовской области от 21.02.2020 № 274-ЗС
"О внесении изменений в областной закон "Об областном бюджете на 2020 год и на плановый период 2021 и 2022 годов"
Номер опубликования: 6100202002250001
Дата опубликования: 25.02.2020
Страница №1760 из 1856:
Увеличить