Официальное опубликование правовых актов
ОФИЦИАЛЬНОЕ ОПУБЛИКОВАНИЕ
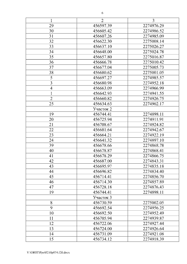
Постановление Правительства Ростовской области от 10.02.2020 № 74
"Об установлении зон охраны объекта культурного наследия регионального значения "Женское училище" и утверждении требований к градостроительным регламентам в границах территорий данных зон"
Номер опубликования: 6100202002120001
Дата опубликования: 12.02.2020
Страница №6 из 11:
Увеличить